Diversity-Stability
Natural ecosystems are diverse and mostly stable to perturbations:

Coral reef: O(10^4) coexisting species [Knowlton et al., 2010)] Plankton: O(10^3) species [Hutchinson, 1961)]
Generalized Lotka-Volterra (GLV) equations,
describing competitive/cooperative growth of many species populations

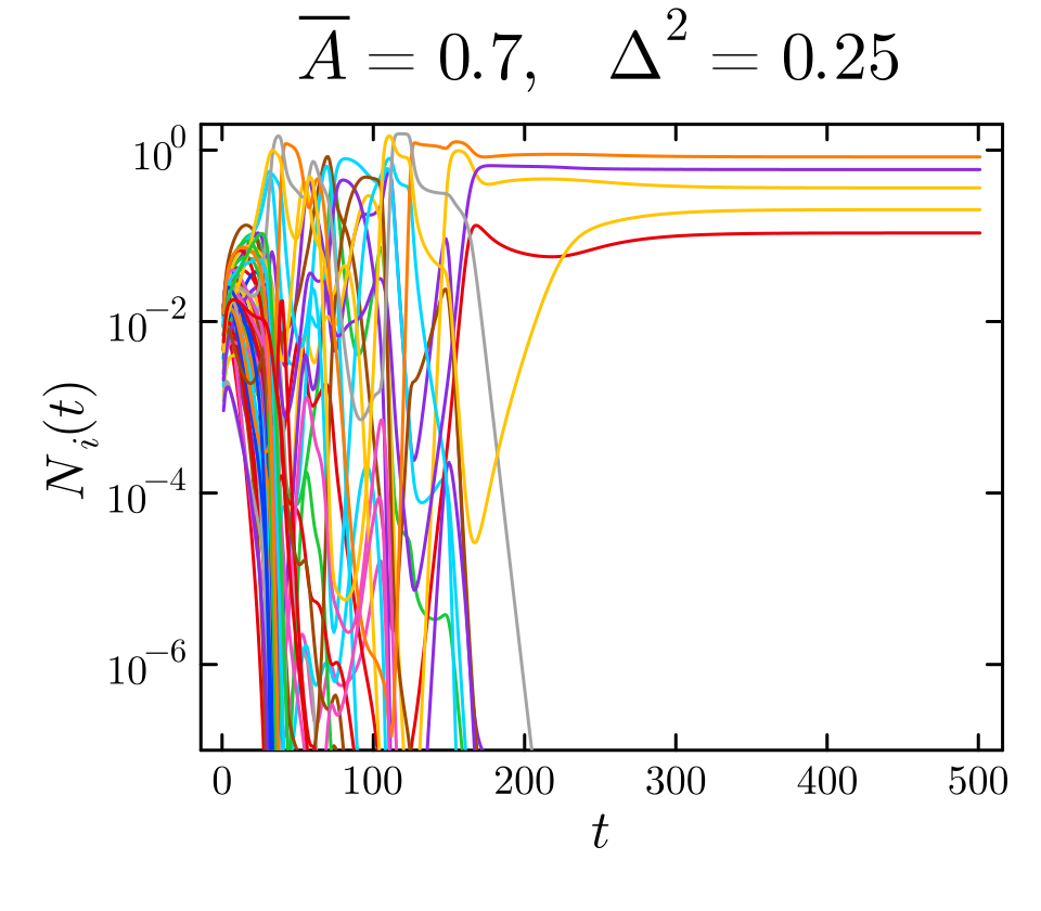
Simulations indicate that starting from diverse initial conditions, only a small fraction of species survive and coexist:

Robert May, [Nature 238, 413 (1972)] argued for the diversity/stability tension based on eigenvalues of random matrices

Natural communities are likely not weakly interacting, and appear to lose diversity in artificial settings:
