Transient Fluctuation-Induced Force
Are there long-ranged fluctuation-induced forces in active matter?
"Fluctuation-Induced Casimir Forces in Granular Fluids,"
C. Cattuto, R. Brito, U.M.B. Marconi, F. Nori, and R. Soto, Phys. Rev. Lett. 96, 178001 (2006)
"Nonadditivity of Fluctuation-Induced Forces in Fluidized Granular Media,"
M.R. Shaebani1, J. Sarabadani, and D.E. Wolf, Phys. Rev. Lett. 108, 198001 (2012)
"Casimir effect in actice mtter systems,"
D. Ray, C. Reichhardt, and C.J. Olson Reichhardt, Phys. Rev. E 90, 013019 (2014)

The annswer is negative: no long-ranged correlations and no long-ranged interactions.
Agitating active matter from rest:
C.M. Rohwer, M. Kardar and Matthias Krüger, PRL 188, 015702 (2017)
Self-propelled colloidal particles Shaken Grains
![]()
Resulting in the trivial (uncorrelated) steady state

What happens when the level of activity/noise is suddently changed (quench)?
"Out of equilibrium behavior of Casimir-type fluctuation-induced forces for free classical fields,"
D. Dean and A. Gopinathan, Phys. Rev. E 81, 041126 (2010)
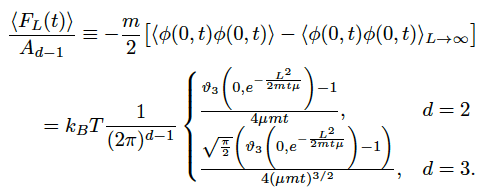
Diffusive "waves" lead to transient fluctuation-induced forces between plates:
Ld 

Transient fluctuation-induced force between two inclusions:

![]()
Simulations of ABP confirm the FIF between plates, after a different density-induced transeint:

Conserved density leads to transient long-ranged force. (How "universal" is this result?)