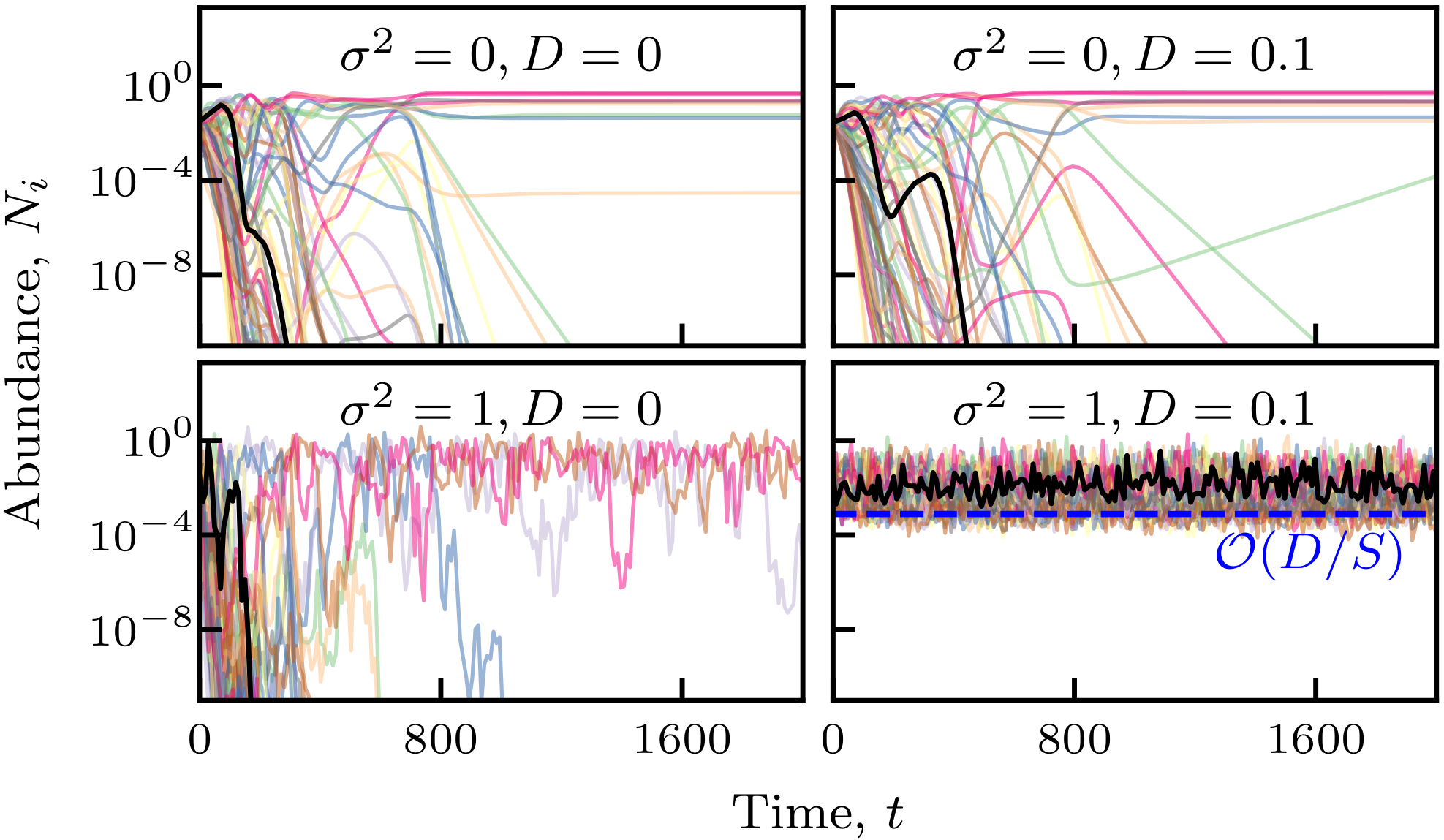
Coexistence on a seascape
Consider a meta-community dispersed, with same strong interactions, over
patches,
each patch subject to independent growth rate fluctuations, with equivalent migrations between patches.

Trajectories from numerical simulations:

Surviving fractions:
,
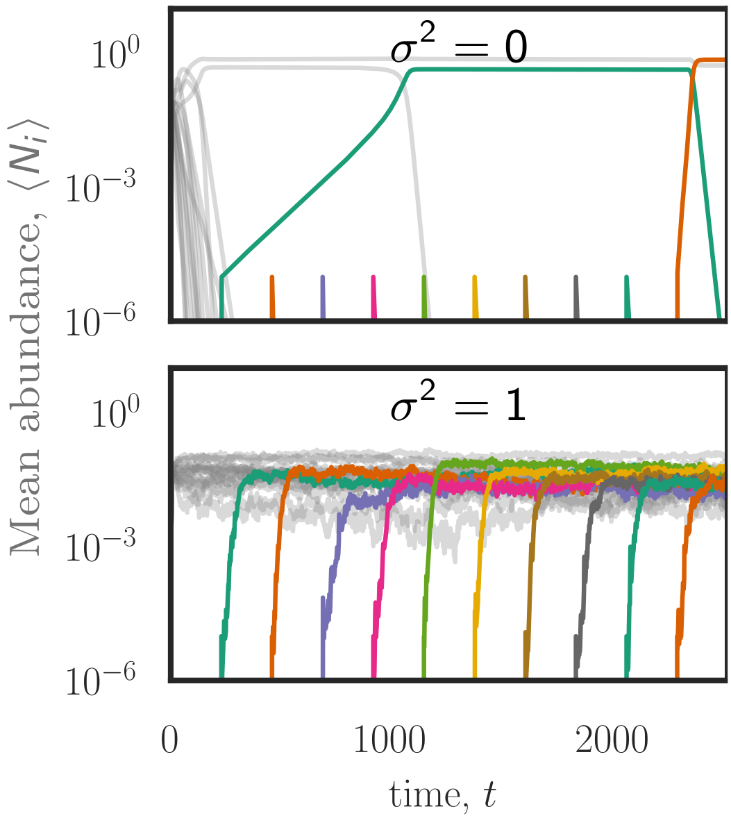
Sequential invasion by new species: