Contactless heat Engine
Ratchet (sideways) force from a heated surface:
The right/left symmetry can be broken in a number of ways, e.g. by external magnetic fields (magneto-optical coupling )
Asymmetry is quantified by the ratio of cyclotron frequency to a material (e.g. plasma) frequency
.
Propulsive force: In the near-field limit
, for ![]()
Work can be extracted from the motive force, only if the plate is moves with some velocity v
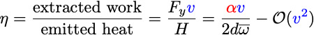
From the extracted power, the engine efficiency is given by
What prevents this efficiency to exceed the Carnot efficiency?

A naive interpretation of the above formula is that the Carnot efficiency is exceed for large enough velocities
Frictional forces, however, are an inevitable consequence of motion, reducing the force to

This leads to a final limit for efficiency at maximum power of
