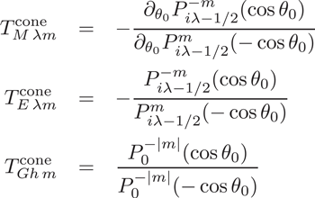
Cone

In spherical coordinates, the sphere is a surface of constant radial coordinate r, while a cone is the surface of constant angular coordinate θ.

Interaction energy of a cone as function of opening angle:
"Casimir force between sharp–shaped conductors,"
M.F. Maghrebi, S.J. Rahi, N. Graham, T. Emig, R.L. Jaffe, & M. Kardar, preprint (2010)
The results for this geometry are very sensitive to geometry (at micrometer separations)