This section treats the boundary value approach to finding the fields
between the perfectly conducting parallel plates shown in Fig.
13.2.1a. Most of the mathematical ideas and physical
insights that come from a study of modes on perfectly conducting
structures that are uniform in one direction (for example, parallel
wire and coaxial transmission lines and waveguides in the form of
hollow perfectly conducting tubes) are illustrated by this example.
In the previous section, we have already seen that the plates can be
used as a transmission line supporting TEM waves. In this and the
next section, we shall see that they are capable of supporting other
electromagnetic waves.
Figure 13.2.1 (a) Plane parallel perfectly
conducting plates. (b) Coaxial geometry in which z-independent
fields of (a) might be approximately obtained without edge effects.
Because the structure is uniform in the z direction, it can be
excited in such a way that fields are independent of z. One way to
make the structure approximately uniform in the z direction is
illustrated in Fig.
13.2.1b, where the region between the plates becomes the annulus of
coaxial conductors having very nearly the same radii. Thus, the
difference of these radii becomes essentially the spacing a and the
z coordinate maps into the
coordinate. Another way is to
make the plates very wide (in the z direction) compared to their
spacing, a. Then, the fringing fields from the edges of the plates
are negligible. In either case, the understanding is that the field
excitation is uniformly distributed in the z direction. The fields
are now assumed to be independent of z.
Because the fields are two dimensional, the classifications and
relations given in Sec. 12.6 and summarized in Table 12.8.3 serve as
our starting point. Cartesian coordinates are appropriate because the
plates lie in coordinate planes. Fields either have H transverse
to the x - y plane and E in the x - y plane (TM) or have E
transverse and H in the x - y plane (TE). In these
cases, Hz and Ez are taken as the functions from which all
other field components can be derived. We consider sinusoidal steady
state solutions, so these fields take the form
These field components, respectively, satisfy the Helmholtz equation,
(12.6.9) and (12.6.33) in Table 12.8.3, and the associated fields are
given in terms of these components by the remaining relations in that
table.
Once again, we find product solutions to the Helmholtz equation,
where Hz and Ez are assumed to take the form X(x) Y(y). This
formalism for reducing a partial differential equation to ordinary
differential equations was illustrated for Helmholtz's equation in
Sec. 12.6. This time, we take a more mature approach, based on the
observation that the coefficients of the governing equation are
independent of y (are constants). As a result, Y(y) will turn
out to be governed by a constant coefficient differential equation.
This equation will have exponential solutions. Thus, with the
understanding that ky is a yet to be determined constant (that
will turn out to have two values), we assume that the solutions take
the specific product forms
Then, the field relations of Table 12.8.3 become
TM Fields:
where p2
2 
- ky2
TE Fields:
where q2
2 
- ky2
The boundary value problem now takes a classic form familiar from
Sec. 5.5. What values of p and q will make the electric field
tangential to the plates zero? For the TM fields,
y = 0
on the plates, and it follows from (7) that it is the derivative of
Hz that must be zero on the plates. For the TE fields, Ez must
itself be zero at the plates. Thus, the boundary conditions are
TM Fields:
TE Fields:
To check that all of the conditions are indeed met at
the boundaries, note that if (11) is satisfied, there is neither a
tangential E nor a normal H at the boundaries for the TM
fields. (There is no normal H whether the boundary condition is
satisfied or not.) For the TE field, Ez is the only electric field,
and making Ez=0 on the boundaries indeed guarantees that Hx = 0
there, as can be seen from (9).
Representing the TM modes, the solution to (5) is a linear
combination of sin (px) and cos (px). To satisfy the boundary
condition, (11), at x = 0, we must select cos (px). Then, to
satisfy the condition at x = a, it follows that p = pn = n
/a,
n = 0, 1, 2,
Dependence of fundamental fields on
$x$.
These functions and the associated values of p are called
eigenfunctions and eigenvalues, respectively.
The solutions that have been found have the x dependence shown in
Fig. 13.2.2a.
Figure 13.2.2 Dependence of fundamental fields on
x.
From the definition of p given in (5), it follows that for a
given frequency
(presumably imposed by an excitation), the
wave number ky associated with the n-th mode is
Similar reasoning identifies the modes for the TE fields. Of the two
solutions to (8), the one that satisfies the boundary condition at
x = 0 is sin (qx). The second boundary condition then requires
that q take on certain eigenvalues, qn.
The x dependence of Ez is then as shown in Fig. 13.2.2b. Note
that the case n = 0 is excluded because it implies a solution of zero
amplitude.
For the TE fields, it follows from (17) and the definition of q
given with (8) that
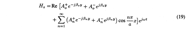
In general, the fields between the plates are a linear combination of
all of the modes. In superimposing these modes, we recognize that
ky =
n. Thus, with coefficients that will be determined
by boundary conditions in planes of constant y, we have
the solutions
TM Modes:
TE Modes:
We shall refer to the n-th mode represented by these fields as
the TMn or TEn mode, respectively.
We now make an observation about the TM0 mode that is of
far-reaching significance. Its distribution of Hz has no
dependence on x [(13) with pn = 0]. As a result, Ey = 0
according to (7).
Thus, for the TM0 mode, both E and H are
transverse to the axial direction y. This special mode, represented
by the n = 0 terms in (19), is therefore the transverse
electromagnetic (TEM) mode featured in the previous section. One of
its most significant features is that the relation between frequency
and wave number in the y direction, ky, [(15) with n =
0] is ky =



=
/c, the same as
for a uniform electromagnetic plane wave. Indeed, as we saw in Sec.
13.1, it is a uniform plane wave.
The frequency dependence of ky for the TEM mode and for the
higher-order TMn modes given by (15) are represented graphically
by the
- ky plot of Fig. 13.2.3. For a given frequency,
, there are two values of ky which we have called
n. The dashed curves represent imaginary values of ky.
Imaginary values correspond to exponentially decaying and "growing"
solutions. An exponentially "growing" solution is in fact a
solution that decays in the -y direction. Note that the switch
from exponentially decaying to propagating fields for the
higher-order modes occurs at the cutoff frequency
Figure 13.2.3 Dispersion relation for TM modes.
The velocity of propagation of points of constant phase (for
example, a point at which a field component is zero) is
/ky.
Figure 13.2.3 emphasizes that for all but the TEM mode, the phase
velocity is a function of frequency. The equation relating
to ky represented by this figure, (15), is often called the
dispersion equation.
The dispersion equation for the TE modes is shown in Fig. 13.2.4.
Although the field distributions implied by each branch are very
different, in the case of the plane parallel electrodes considered
here, the curves are the same as those for the TMn
0 modes.
Figure 13. Dispersion relation for TE modes.
The next section will provide greater insight into the higher-order
TM and TE modes.