next up previous
Next: About this document ... Up: Newton-Raphson Technique Previous: Newton-Raphson Technique

The Initial Guess

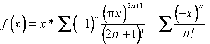
One good way to estimate an initial guess for starting the N-R method is to linearize the equation being solved. For example, the equation f(x) = x*sin(pi x)-exp(-x) may be rewritten as a sum of two series:
(8)
 

Linearization implies that we approximate this equation with one in which we neglect all terms containing x raised to a power m>1 (x2, x3, etc.) (c.f. Introduction). In this example, linearization reduces the equation to:

f(x) = 1 - x  (9)
 

The root of the linearized equation f(x)=1-x=0 is 1, which provides a reasonable initial guess for the actual roots on the nonlinear equation, in the absence of a plot such as Figure 1.
 


Mark D Smith

1998-10-01