Next: Convergence
Up: Bisection
Methods: Previous: Bisection
Methods:
The Error Criterion
Instead of the criterion |f(x)|<
epsilon used above, we can implement criteria which are insensitive
to the value of the function. One such criterion is obtained by requiring
that |x1-x2|<
delta. This is an absolute tolerance criterion. There are instances
when this is not a good criterion to use. For example: suppose x1
= 1.0000 and x2 = 1.0001;
then |x1 -
x2| = 1.0E-4. Now, say the same equation was rescaled
so that x1 = 1.0000E+10
and x2 = 1.0001E+10;
then |x1 -
x2| = 1.0E+6, a number much larger than the previous
estimate before rescaling. This is not a desirable property for an error
criterion. Hence in order to make the criterion independent of the absolute
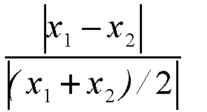
magnitude of x, we use a relative tolerance criterion, given
by
 |
(1) |
Note that for both the intervals [1.0000,1.0001]
and [1.0000E+10,1.0001E+10],
we get a relative tolerance of 1.0E-4 .
Mark D Smith
1998-10-01