Symmetry Breaking
(a) Polymerizing actin exerts force on bead [g(Ω,t): effective force/actin density]
(b) Net force pushes bead
(c) Actin dynamics influenced by local velocity of bead surface
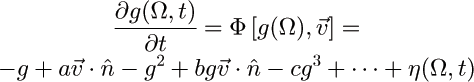
Eliminating fast modes leads to an effective (stochastic) equation for the velocity:
"Phase diagram and critical behavior" (noiseless):
Nonspherical Beads:
- Instability is typically along the direction offering the largest cross-sectional view,
- M. F. Carlier et al, BioEssays 25, 336 (2003)
- Singularities are determined by bead symmetries: