Transient Froce
Agitating active matter from rest:
Christian Rohwer and Matthias Krüger, in progress (2016)
Self-propelled colloidal particles Grains on vibrating plate
![]()
"Out of equilibrium behavior of Casimir-type fluctuation-induced forces for free classical fields,"
D. Dean and A. Gopinathan, Phys. Rev. E 81, 041126 (2010)
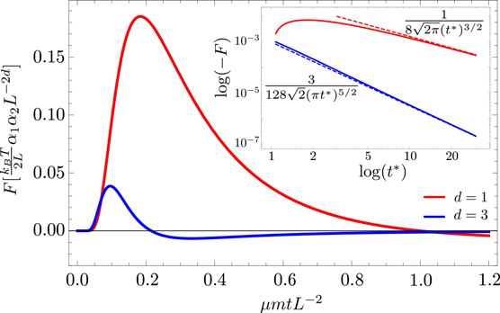
Transient fluctuation-induced force between plates:



Transient fluctuation-induced force between two inclusions:

![]()
