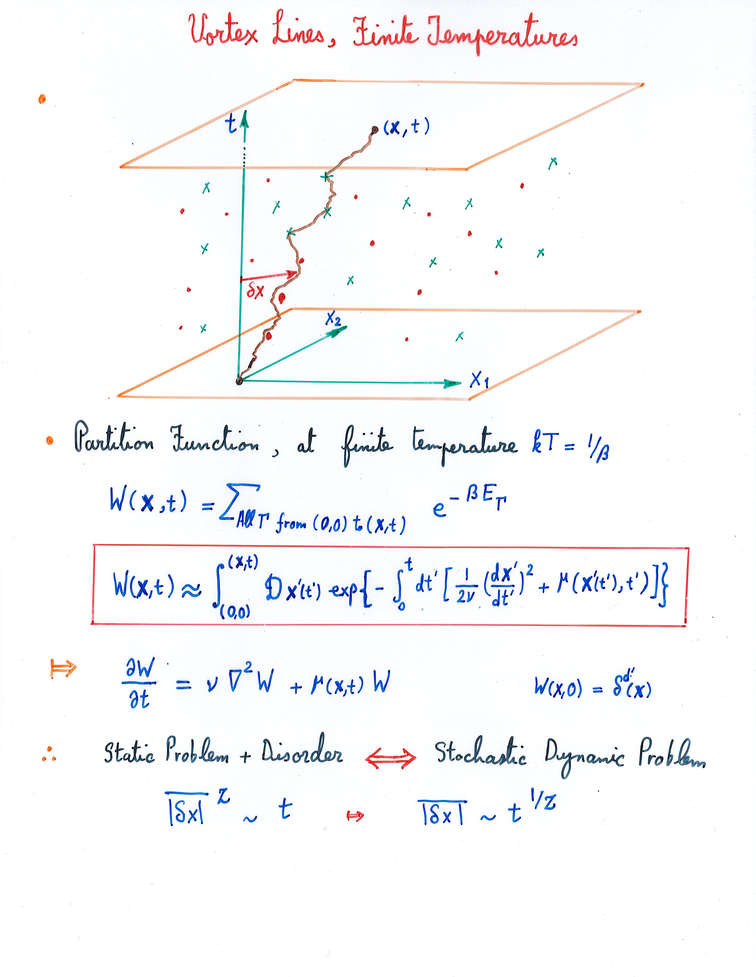
Next (Quantum Interference) Introduction KPZ equation Original support Directed Polymers Quantum Interference Summary