Dynamic Casimir Effects
Path-Integral formulation of Deformed boundaries

H.
Li and M. Kardar, Phys. Rev. Lett. 67,
3275 (1991); Phys.
Rev. A 46, 6490 (1992)
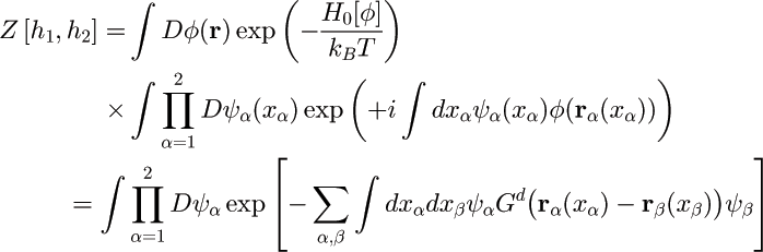
Impose constraints on surfaces by delta-functions;
e.g. for thermal fluctuations of a scalar field with Dirichlet boundary conditions:

After integrating over the auxiliary field, the effective (free) energy can be obtained perturbatively in the deformations:

Generalization to Space-Time (4-dimensions)

R.
Golestanian and M. Kardar, Phys. Rev. Lett. 78,
3421 (1997); Phys.
Rev. A 58, 1713 (1998)
Euclidean path integral quantization of a scalar (relativistic) field:

Perturbative expansion for the effective action:

Dynamic Casimir Effects

Mechanical Response of Vacuum
The second
order perturbative results from the path-integral approach, give an effective
action:
Oscillating (rocking) Plate
Let us focus
on the specific case of harmonic (rocking) oscillations of a corrugated plate:

At low frequencies (ω<<ck), there are direction dependent corrections to mass!

At high frequencies (ω>ck), the response function is complex, and there is frequency-dependent viscosity (dissipation):

At frequencies higher than the πc/H , the response function diverges, which we interpret as resonant dissipation by pumping the normal modes of the (no-leak) cavity.
What happens to the dissipated energy?
Radiation
"Motion-induced
radiation from a dynamically deforming mirror,"
