|
6.16 Design of an optimum road network considering
congestion It is well-known that travel time by car depends on the
number of other cars on the same road. Keeping this in mind, let us consider
the following simple problem.
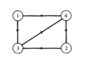
We are given the network of Figure P6.16 where the travel time from node
i to j, namely cij, depends on the flow (number of cars per unit
time) x on that arc. Let:
We now send a flow of 6 cars per unit time from node 1 to node 2.
| a. | As each driver tries to minimize his
travel time independently from the other drivers, all possible routes
(namely 1-3-2, 1-3-4-2 and 1-4-2) will have a flow density such that the
route lengths (travel times) are equal. (Why?) Knowing this, how much flow
will be on each arc and what is the travel time for all drivers ?
| | b. | Assume now that someone, perhaps a
police officer, is regulating the traffic. This means the police decide how
much flow is allowed on each arc. Is it possible to regulate the traffic such
that the travel time for every driver is lower than it was before,
when each driver decided on his own? (The answer is yes!) How should
the traffic be apportioned ?
| | c. | If the arc from node 3 to 4 did not
exist and you were to decide if it should be built, what would you recommend?
|
|