Invasion speed


red ball How is the invasion speed of the fitter species modified by coupling to the profile?

"Interplay between morphology and competition in two-dimensional colony expansion,"

Daniel Swartz, Hyunseok Lee, M. Kardar & K. Korolev, Phys. Rev. E 108, L032301 (2023). (off-line)

yellow ballMorphologies for isotropic growth with the standard FKPP competition:

yellow ball How rapidly does the mutant invade the wild type?

      

The faster of the uncoupled Fisher velocity, or circular arc velocity, determines invasion speed! 

yellow ball However, this is a consequence of the competition rule leading to a "pulled" Fisher waves.   

Different behavior occurs in other competitive models that lead to "pushed" Fisher waves, as for

which models the "Alee effect" with a minimum population size required for growth.

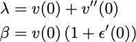
Using the exact solution of the "Alee" modified Fisher equation as zeroth order,

a first order solution to the profile is obtained using the Cole-Hopf transformation,

the first order profile can then be used to compute a first order correction to the Fisher velocity in the above form.

       yellow ball Speed of the fitter species can actually be reversed by the growth advantage of the less fit species, leading to morphology phase diagram:

  


red ball Anisotropic growth can lead to new morphologies.

         

yellow ball At large growth discrepancy, a new morphology appears which we call "escaping bulge".