Engine (work & efficiency)

Near field: For simplicity, let us consider a material with a single dominant frequency
,
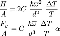
where the propulsive force and heat transfer in the near-field regime can be estimated as

where C is dimensionless, andis a measure of asymmetry, e.g.
in a magnetic field.
Work can be extracted from the motive force, only if the plate is moves with some velocity v
From the extracted power, the engine efficiency is given by
What prevents this efficiency to exceed the Carnot efficiency?

A naive interpretation of the above formula is that the Carnot efficiency is exceed for velocities greater than
Onsager relations, however, imply that if heat exchange drives motion, movement must modify heat exchange according to [linear reponse below]
while there are also frictional forces (even with a vacuum gap) reducing the propulsive force to
, with
This leads to a final expression for the efficiency of

For maximum power

Fluctuations and linear Response
Rytov formalism allows computation of fluctuations in force and heat, both in and out of thermal equilibrium
_.jpeg)
Linear response relates equilibrium fluctuations to responses to small perturbations:
Friction coeficient in vacuum at finite temperature

Green Kubo relation (explicitly confirmed) provide coefficient of thermal conductivity
Onsager relation (relying of symmetry of mixed expectation values) give
"Nonequilibrium Fluctuational QED: Heat Radiation, Heat Transfer and Force,"
V. Golyk, M. Krüger, and M. Kardar, Phys. Rev. B 88, 155117 (2013). (offline)